Documents  

 and Photo's


                  

      


 

 

Arthur

 

 

 

 

 


 

Due to the file sizes of the images below, it may take a  little time to download.

 

Click on images

 

 

                            

Commonwealth War Graves Commission Memorial

 

 

Arthur's grave in the Durnbach War Cemetery, Germany.

 

 

                          

     

 

 

           

 

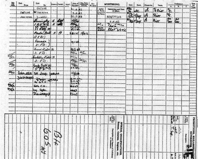
Arthur's RAF service records. 

The stamp "Non - Effective" means that he is dead.

 

         

     Arthur's aircraft was bombed by the aircraft flying above     

 

 

           

    These are the RAF loss cards (front and back) for Lancaster ED627

 and the list of the crew.

 

  

                

        List of raids that ED627 took part in.  List of raids that Arthur took part in.

 

 

        

    This is the telegram sent to Arthur's father when he went missing.

 

 

      

    This is a letter from the Imperial (Commonwealth) War Graves Commission.

 

 

              

Letters from the Casualty Branch and the Under Secretary of State

 

 

                                                             

Five of the crew members who died together. Stephen Preston,6th crew member                      

 

The names of the 5 crew in the photo above are,

Top, left to right,      Sgt. W.W. Addison,      Sgt. H. A. Toomey,      Sgt. C. H. Pratt

Bottom,          Sgt. A. M. Fitzgerald,       Sgt. J. Goodwin.

 

Always prepared

 

 

______________________________